Document Page: First | Prev | Next | All | OCR | This Release | Search

File: 073096_jul_decls6_0005.gif
Page: 0005
Total Pages: 15


Document Page: First | Prev | Next | All | OCR | This Release | Search


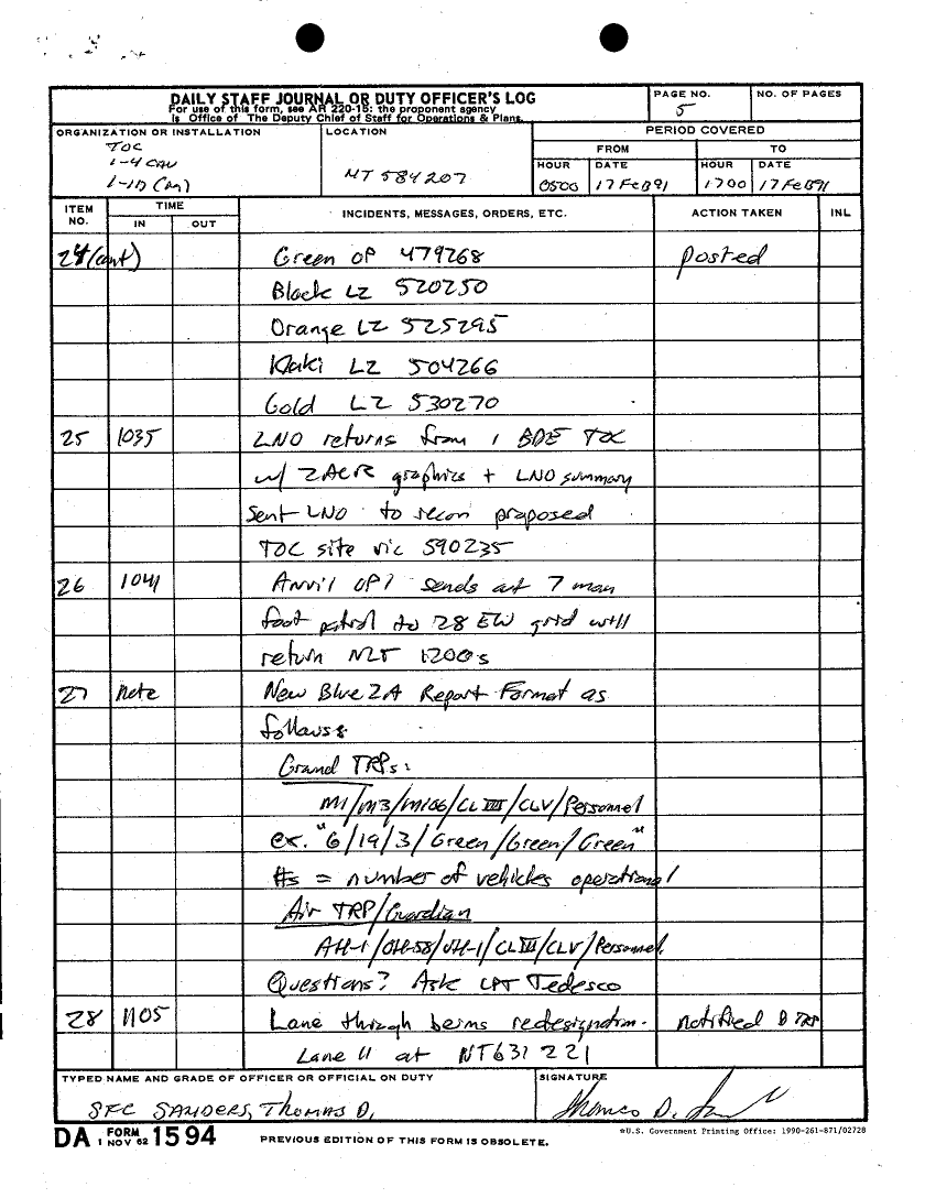
Document 15 f:/Week-27/BX001034/DAILY JOURNAL-STAFF JOURNAL AND TACTICAL OPERATIONS CENTER -TOC- LOGS DESERT STORM 17 FEB 91/daily staff journals 1 4 cav 17 feb 91:07269614225817
Control Fields 17
File Room = jul96_declassified
File Cabinet = Week-27
Box ID = BX001034
Unit = 1ST ID
Parent Organization = VII CORPS
Folder Title = DAILY JOURNAL-STAFF JOURNAL AND TACTICAL OPERATIONS CENTER -TOC- LOGS DESERT STORM 17 FEB 91
Folder Seq # = 41
Subject = DAILY STAFF JOURNALS 1 4 CAV 17 FEB 91
Document Seq # = 17
Document Date =
Scan Date = 10-JUL-1996
Queued for Declassification = 01-JAN-1980
Short Term Referral = 01-JAN-1980
Long Term Referral = 01-JAN-1980
Permanent Referral = 01-JAN-1980
Non-Health Related Document = 01-JAN-1980
Declassified = 26-JUL-1996