Document Page: First | Prev | Next | All | OCR | This Release | Search

File: 970512_jul96_decls110_0003.gif
Page: 0003
Total Pages: 4


Document Page: First | Prev | Next | All | OCR | This Release | Search


Document 4 f:/Week-28/BX000411/COMMAND REPORTS - PERSTATS AUG-DEC 90 PART 1/personnel status report 17 sep 90:050997114031127
Control Fields 17
File Room = jul96_declassified
File Cabinet = Week-28
Box ID = BX000411
Unit = ARCENT
Parent Organization = CENTCOM
Folder Title = COMMAND REPORTS - PERSTATS AUG-DEC 90 PART 1
Folder Seq # = 4
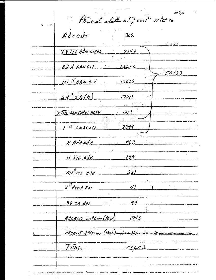
Subject = PERSONNEL STATUS REPORT 17 SEP 90
Doc Seq # = 13
Doc Date =
Scan Date = 25-JUL-1996
Queued for Declassification = 24-MAR-1997
SAGWI Request = 01-JAN-1980
Long Term Referral = 01-JAN-1980
Permanent Referral = 01-JAN-1980
Non-Health Related Document = 01-JAN-1980
Declassified = 09-MAY-1997