Document Page: First | Prev | Next | All | OCR | This Release | Search

File: 970904_sep96_decls26_0003.gif
Page: 0003
Total Pages: 23


Document Page: First | Prev | Next | All | OCR | This Release | Search


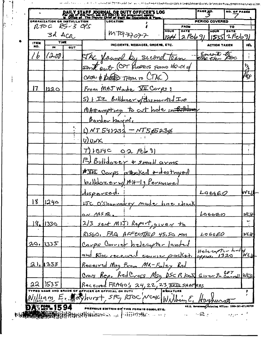
Document 23 f:/Week-62/BX001803/R-TOC 3D ACR FEB 91DUTY LOGS-MES SAGES-NOTES/daily staff journal 2feb91:0828971656563
Control Fields 17
File Room = sep96_declassified
File Cabinet = Week-62
Box ID = BX001803
Unit = 3D ACR
Parent Organization = XVIII CORPS
Folder Title = R-TOC 3D ACR FEB 91DUTY LOGS-MES SAGES-NOTES
Folder Seq # = 1
Subject = DAILY STAFF JOURNAL 2FEB91
Doc Seq # = 3000
Doc Date =
Scan Date = 20-JUN-1997
Queued for Declassification = 21-JUN-1997
SAGWI Request = 01-JAN-1980
Long Term Referral = 01-JAN-1980
Permanent Referral = 01-JAN-1980
Non-Health Related Document = 01-JAN-1980
Declassified = 28-AUG-1997