Document Page: First | Prev | Next | All | OCR | This Release | Search

File: 970924_sep96_decls8_0024.gif
Page: 0024
Total Pages: 30


Document Page: First | Prev | Next | All | OCR | This Release | Search


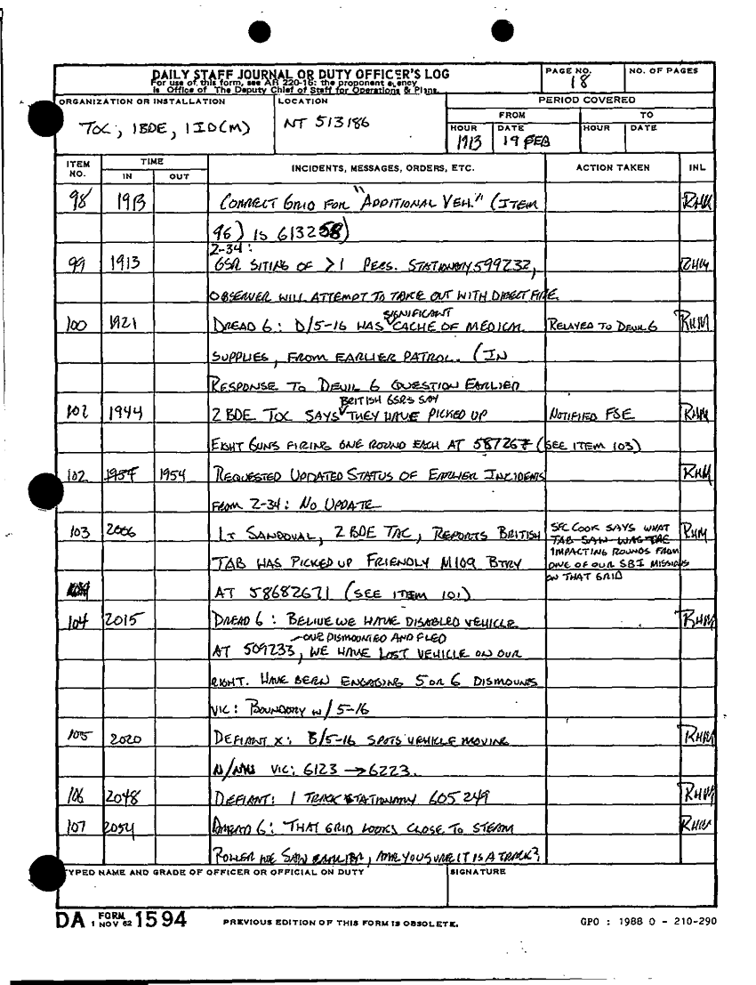
Document 30 f:/Week-60/BX001072/TOC 1ST BDE 1 ID-DAILY STAFF JOURNALS-16 FEB THRU 25 FEB 91/daily staff journal 19 feb 91:09229712012610
Control Fields 17
File Room = sep96_declassified
File Cabinet = Week-60
Box ID = BX001072
Unit = 1ST ID
Parent Organization = VII CORPS
Folder Title = TOC 1ST BDE 1 ID-DAILY STAFF JOURNALS-16 FEB THRU 25 FEB 91
Folder Seq # = 63
Subject = DAILY STAFF JOURNAL 19 FEB 91
Doc Seq # = 4
Doc Date =
Scan Date = 15-JUL-1997
Queued for Declassification = 16-JUL-1997
SAGWI Request = 01-JAN-1980
Long Term Referral = 01-JAN-1980
Permanent Referral = 01-JAN-1980
Non-Health Related Document = 01-JAN-1980
Declassified = 22-SEP-1997