Document Page: First | Prev | Next | All | OCR | This Release | Search

File: 970327_dec96_decls15_0036.gif
Page: 0036
Total Pages: 86


Document Page: First | Prev | Next | All | OCR | This Release | Search


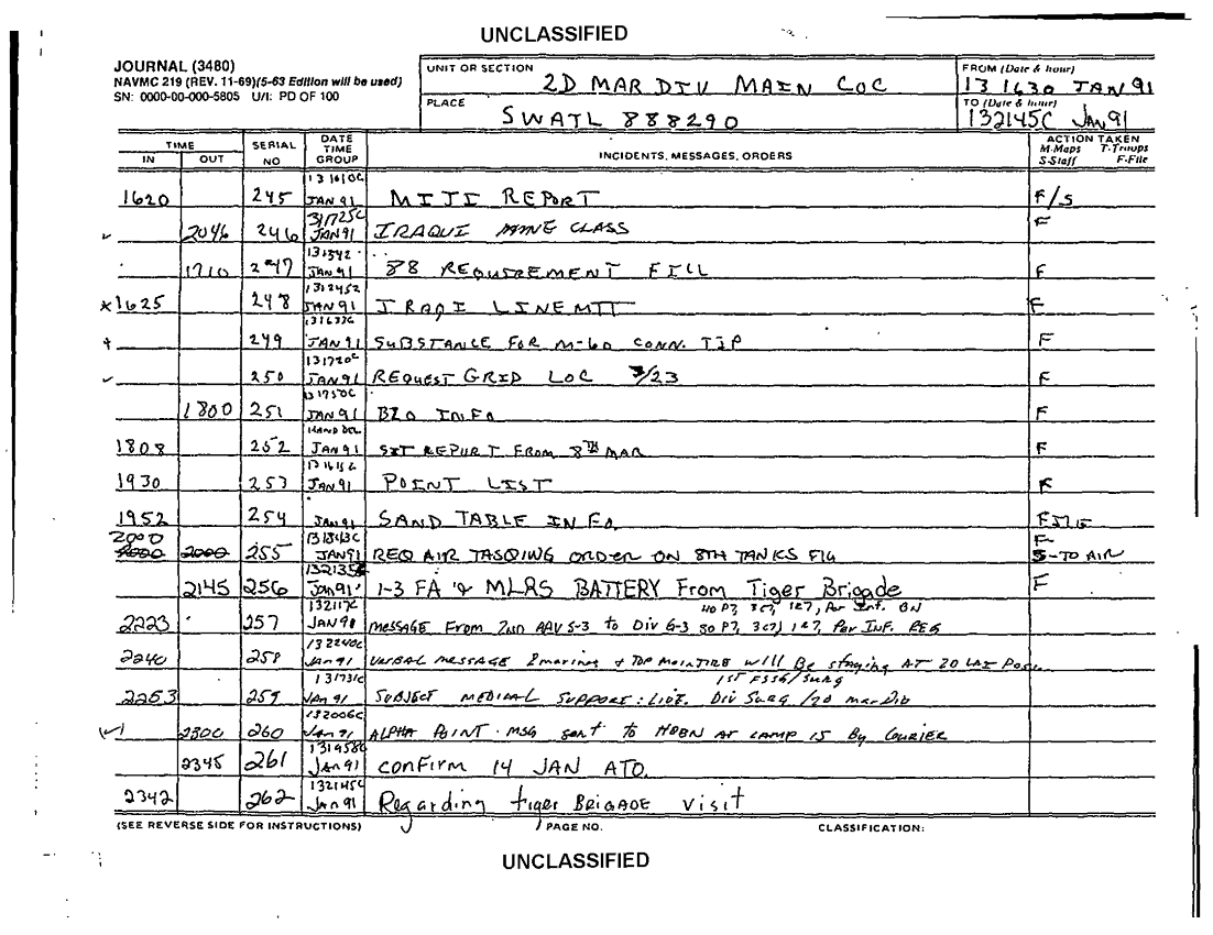
Document 86 f:/Week-52/BX600109/2D MARDIV CC PART IV SUPPORTING DOCUMENT NUMBER 252 FEB-MAR 91 1 OF 2/journal 2d mardiv supporting docs sep 90:03249710491816
Control Fields 17
File Room = dec96_declassified
File Cabinet = Week-52
Box ID = BX600109
Unit = 2D MARDIV
Parent Organization = VARIOUS MC
Folder Title = 2D MARDIV CC PART IV SUPPORTING DOCUMENT NUMBER 252 FEB-MAR 91 1 OF 2
Folder Seq # = 51
Subject = JOURNAL 2D MARDIV SUPPORTING DOCS SEP 90
Document Seq # = 1
Document Date =
Scan Date =
Queued for Declassification = 01-JAN-1980
Short Term Referral = 01-JAN-1980
Long Term Referral = 01-JAN-1980
Permanent Referral = 01-JAN-1980
Non-Health Related Document = 01-JAN-1980
Declassified = 24-MAR-1997