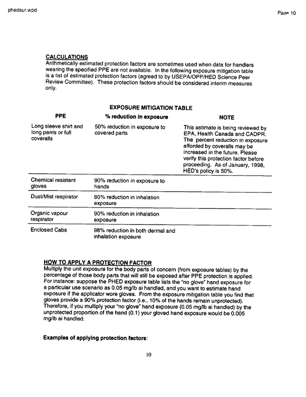
US Environmental Protection Agency, Office of Pesticide Programs, �PHED Surrogate Exposure Guide,� August 1998, p. 10.

| First Page | Prev Page | Next Page | Back to Text |