TAB D Methodology for Chemical Warfare Incident Investigation
The Department of Defense (DoD) requires a common framework for our investigations and assessments of chemical warfare agent reports, so we turned to the United Nations and the international community, which had chemical weapons experience (e.g., the United Nations investigation of the chemical weapons used during the 1980-88 Iran-Iraq war). Because the modern battlefield is complex, the international community developed investigative and validation procedures[90] to provide objective information about possible chemical weapons incidents. Based on these international procedures and guidelines, our methodology includes these factors:
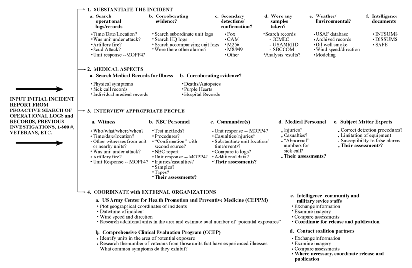
While we base our investigative methodology (Figure 12) on these procedures, the passage of time since the Gulf War makes it difficult to obtain certain types of documentary evidence, and physical evidence often was not collected when an event occurred. Therefore, we cannot apply a rigid template to all incidents and must tailor each investigation to its unique circumstances. Accordingly, we designed our methodology to provide a thorough investigative process to define each incidents circumstances and determine what happened. Our methodologys major efforts are:
Figure 12. Chemical warfare incident investigation methodology
A case usually starts with a report of a possible chemical warfare agent incident, often from a veteran. For Muhammadiyat, the case was started because of a concern that the Coalition bombing of Iraqs chemical storage sites might have released hazardous chemical warfare agents that caused low level contamination among Coalition forces. To substantiate the circumstances surrounding an incident, the investigator searches operational, intelligence, and environmental logs for documentation. This focuses the investigation on a specific time, date, and location, clarifies the conditions under which the incident occurred, and determines whether there is "hard," as well as anecdotal, evidence.
Alarms alone are not certain evidence of chemical warfare agent presence nor is a single observation sufficient to validate a chemical warfare agents presence. The investigator looks for physical evidence collected at the time of the incident possibly indicating whether chemical agents were present in its vicinity. Such evidence might include tissue samples, body fluid samples, clothing, environmental samples of soil or vegetation, weapons parts, and Fox MM-1 tapes with properly documented spectrums. For Muhammadiyat, this evidence also included Iraqs declarations, UNSCOM inspection reports, and intelligence documents.
The investigator searches available medical records to determine if the incident injured anyone and notes deaths, injuries, sicknesses, etc., near an incidents time and location. We ask medical experts to provide information about any possible chemical warfare agent casualties. For Muhammadiyat, efforts were made to determine if any of the indigenous Iraqi population near the site suffered a chemical related injury.
We interview those involved in or near the incident (participants or witnesses). First-hand witnesses provide valuable insight into the conditions surrounding the incident and the mind-sets of those involved, and are particularly important if physical evidence is lacking. We interview nuclear, biological, and chemical officers or specialists trained in chemical testing, confirmation, and reporting to identify the units response, tests conducted, injuries sustained, and reports submitted. We contact commanders to ascertain what they knew, what decisions they made about the events surrounding the incident, and their assessment of it. If appropriate, subject matter experts provide opinions on the capabilities, limitations, and operation of technical equipment and evaluate selected topics of interest.
Additionally, the investigator contacts agencies and organizations that may be able to further clarify details of the case, including, but not be limited to:
Once the investigation is complete, the investigator evaluates the available evidence to assess it objectively. The available evidence is often incomplete or contradictory, so we must look at it in the total context of what we know about the incident. Physical evidence collected when the incident occurred, for example, can be tremendously valuable to an investigation. We generally would give properly documented physical evidence the greatest weight in any assessment. For Muhammadiyat, the testimony of UNSCOM inspectors, Iraqs contemporaneous documentation and UNSCOM documentation is also significant when making an assessment. Testimony from witnesses who also happen to be subject matter experts is usually more meaningful than testimony from untrained observers. Typically, we give secondhand accounts less weight than witnesses testimony but for this case we have placed great weight in the testimony of UNSCOM inspectors who visited Muhammadiyat. If witnesses accounts conflict, investigators look for other information supporting the witnesses statements. Investigators evaluate the supporting information to determine how it corroborates any conflicting position. Generally, such supporting information will fit into a pattern corroborating one of the conflicting accounts of the incident over the others. Where the bulk of corroborating evidence supports one witness more than another, that person's information would be considered more compelling.
In each investigation our assessment relies on the investigators evaluation of the available information. Because we do not expect to always have conclusive evidence, we have developed an assessment scale (Figure 13) ranging from Definitely Not to Definitely, with intermediate assessments of Unlikely, Indeterminate, and Likely. The investigator uses this scale to make an assessment, which is our best judgment, based on facts available on the report publication date; we reassess each case over time based on new information and feedback.

Figure 13. Assessment of chemical warfare agent presence
The standard for making the assessment is common sense: do the available facts lead a reasonable person to conclude that chemical warfare agents were present or not? If insufficient information is available, the assessment is Indeterminate until more evidence emerges