Document Page: First | Prev | Next | All | OCR | This Release | Search

File: 060596_mar_decls19_0001.gif
Page: 0001
Total Pages: 40


Document Page: First | Prev | Next | All | OCR | This Release | Search


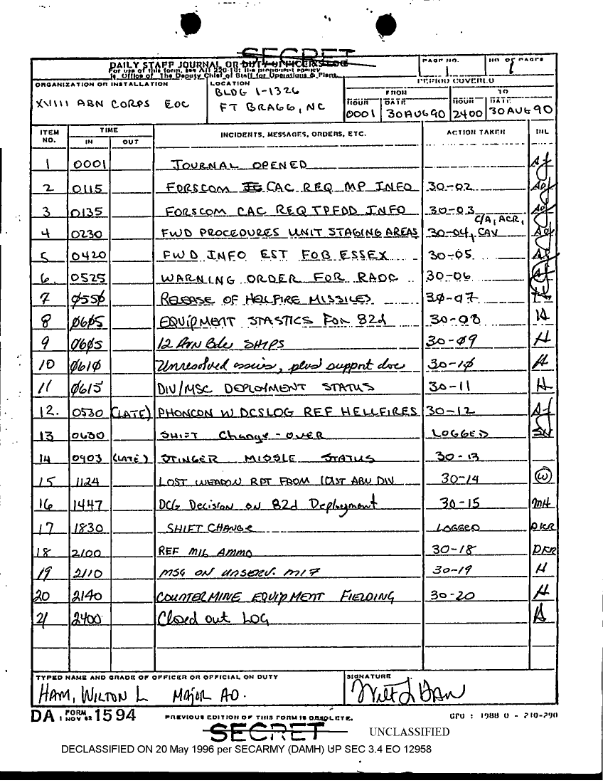
Document 40 f:/Week-10/BX000027/DUTY LOG EOC G3 30 AUG 90/daily staff journal or duty log xviii abn au:05319611394119
Control Fields 17
File Room = mar96_declassified
File Cabinet = Week-10
Box ID = BX000027
Unit = XVIII CORPS
Parent Organization = ARCENT
Folder Title = DUTY LOG EOC G3 30 AUG 90
Folder Seq # = 19
Subject = DAILY STAFF JOURNAL OR DUTY LOG XVIII ABN AUG 90
Document Seq # = 6
Document Date = 01-JAN-1980
Scan Date = 08-MAY-1996
Queued for Declassification = 01-JAN-1980
Short Term Referral = 01-JAN-1980
Long Term Referral = 01-JAN-1980
Permanent Referral = 01-JAN-1980
Non-Health Related Document = 01-JAN-1980
Declassified = 31-MAY-1996